Changes in the conductivity of water when adding hydrochloric and sulfuric acid to it | tiwater.info

Published on by in Technology

Changes in the conductivity of water when adding hydrochloric and sulfuric acid to it | tiwater.info

Cooling tower, reverse osmosis, water acidification

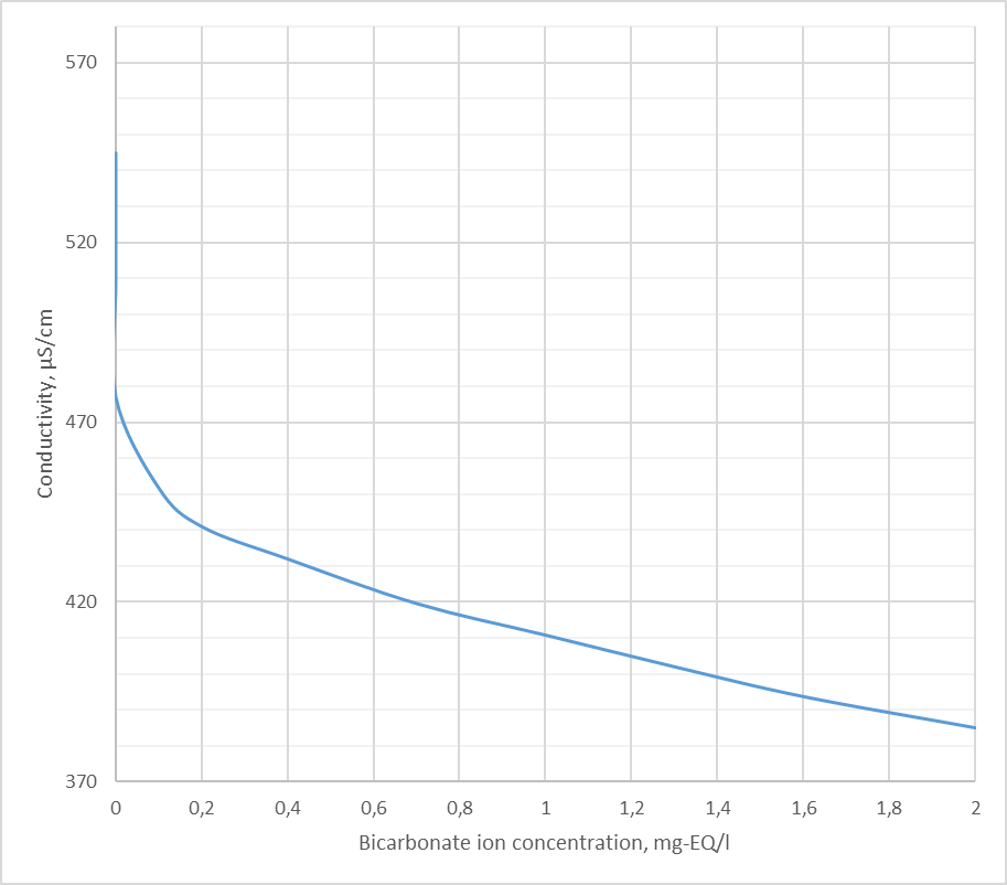
This article is devoted to the problem of removing bicarbonate from natural water. Bicarbonate can be removed from water by converting it to carbon dioxide. In this case, part of the carbon dioxide dissociates in the water and reduces the pH value of the water. When the pH of the water becomes 4.5, it is assumed that the entire bicarbonate ion has turned into carbonic acid. You can convert bicarbonate ion to carbonic acid by adding hydrochloric or sulfuric acid to water. Thus, the amount of strong acid anions formed in water is equivalent to the amount of bicarbonate ion passed to carbon dioxide. If you add hydrochloric acid, then chlorides are formed, if sulfuric is added, then sulfates.

Scale formation processes can be effectively controlled by converting bicarbonate ion to carbonic acid. In other words, it is possible to avoid the deposition of salts of the so called temporary hardness. Temporary hardness is the salts of calcium carbonate CaCO3, which are formed from the dissolved form of Ca(HCO3)2. As can be seen when converting bicarbonate (HCO3) to carbon dioxide, the process of precipitation of temporary hardness salts is impossible.

The process of precipitation of temporary hardness salts significantly worsens the operational characteristics of the equipment. This is particularly true for the circulation loops of the fan cooling towers, installation of reverse osmosis water desalination, etc.

In these processes, there is no significant heating of water or water is not heated at all, but there is an increase in the salinity of water due to the peculiarities of the technological process. As a result, the carbon dioxide balance is disturbed and the precipitation of calcium carbonate salts begins.

Effective pretreatment of water for these processes is the dosing of hydrochloric or sulfuric acid into the source water. As a result, bicarbonate turns into carbon dioxide, but chlorides and sulfates also appear in the water, respectively.

The main disadvantage of the acid-to-water dosing process is the complexity of controlling the dosing process.

If you add more acid to the water than there is bicarbonate in the water, then the water will have strong acids and a very low pH of the water will be observed. Such water will have very strong corrosive properties. If the acid dosage is less than that of bicarbonate, it is possible to precipitate temporary hardness salts in a water-using equipment.

It is customary to monitor the process of acid dosing using the pH value.

full vertion - https://tiwater.info/en/changes-in-the-electrical-conductivity-of-natural-water-when-adding-hydrochloric-and-sulfuric-acid-to-it/

Taxonomy